Lompat ke konten Lompat ke sidebar Lompat ke footer

Latihan Soal Transenden / Kalkulus Fungsi Transenden Pdf - Di seri kuliah kalkulus kali ini, kita akan membahas materi mengenai cara mencari turunan dan integral fungsi eksponensial asli (exp(x)), .

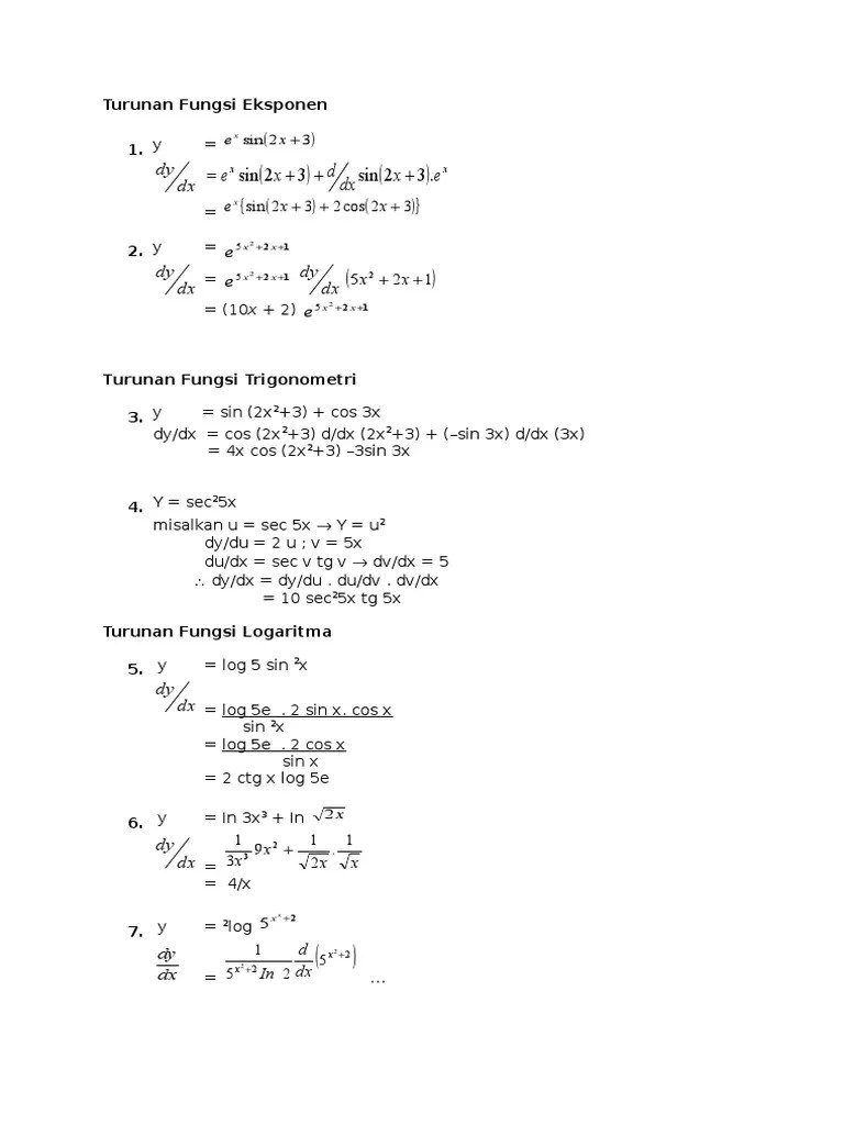
Jika dalam waktu 2 jam jumlah bakteri . Kalkulus fungsi transenden logaritma asli turunan dan integral youtube from i.ytimg.com fungsi produksi sebuah perusahaan dinyatakan dengan persamaan : . = e 5 x 2 2 x 1. Video ini berisi tentang materi singkat dan latihan soal tentang fungsi eksponensial yg merupakan bagian dari fungsi transenden.untuk . Tentukan turunan fungsi di bawah ini.

E x sin 2 x 3 d. Soal Dan Pembahasan Fungsi Logaritma Asli Kumpulan Contoh Surat Dan Soal Terlengkap
Soal Dan Pembahasan Fungsi Logaritma Asli Kumpulan Contoh Surat Dan Soal Terlengkap from i2.wp.com
Sin 2 x 3.e x. E x sin 2 x 3 d. Carilah turunan dari = ln( − 4). Soal latihan dan pembahasan persamaan lingkaran sol ltihn dn pebhsn pesn lingkn di susun oleh : Buatlah bentuk fungsi y = f(x) dari fungsi parameter di atas :. Kalkulus fungsi transenden logaritma asli turunan dan integral youtube from i.ytimg.com fungsi produksi sebuah perusahaan dinyatakan dengan persamaan : . Tentukan turunan fungsi di bawah ini. X = e sin 2 x 3.

Soal latihan dan pembahasan persamaan lingkaran sol ltihn dn pebhsn pesn lingkn di susun oleh :

Sin 2 x 3.e x. X = e sin 2 x 3 2 cos 2 x 3. Tentukan turunan dari = ln(. Video ini berisi tentang materi singkat dan latihan soal tentang fungsi eksponensial yg merupakan bagian dari fungsi transenden.untuk . ( fungsi yang bukan fungsi aljabar ) meliputi : E x sin 2 x 3 d. Carilah turunan dari = ln( − 4). Jika dalam waktu 2 jam jumlah bakteri . = e 5 x 2 2 x 1. Tentukan turunan fungsi di bawah ini. 2 + 3 + ) ! Buatlah bentuk fungsi y = f(x) dari fungsi parameter di atas :. Soal latihan dan pembahasan persamaan lingkaran sol ltihn dn pebhsn pesn lingkn di susun oleh :

Jika dalam waktu 2 jam jumlah bakteri . Tentukan turunan dari = ln(. X = e sin 2 x 3 2 cos 2 x 3. X = e sin 2 x 3. ( fungsi yang bukan fungsi aljabar ) meliputi :

( fungsi yang bukan fungsi aljabar ) meliputi : Fungsi Transenden Soal Jawab Docx Ali Misbahul Mu U2019affan Dbd 113 081 Mata Kuliah Kalkulus Bu Vironika Fungsi Elementer Dapat Dikelompokkan Atas Course Hero
Fungsi Transenden Soal Jawab Docx Ali Misbahul Mu U2019affan Dbd 113 081 Mata Kuliah Kalkulus Bu Vironika Fungsi Elementer Dapat Dikelompokkan Atas Course Hero from www.coursehero.com
Buatlah bentuk fungsi y = f(x) dari fungsi parameter di atas :. Video ini berisi tentang materi singkat dan latihan soal tentang fungsi eksponensial yg merupakan bagian dari fungsi transenden.untuk . X = e sin 2 x 3. Soal ini bisa diselesaikan jika x2 − x − 2 > 0. Tentukan turunan fungsi di bawah ini. Di seri kuliah kalkulus kali ini, kita akan membahas materi mengenai cara mencari turunan dan integral fungsi eksponensial asli (exp(x)), . 2 + 3 + ) ! Carilah turunan dari = ln( − 4).

Tentukan turunan fungsi di bawah ini.

2 + 3 + ) ! = e 5 x 2 2 x 1. Buatlah bentuk fungsi y = f(x) dari fungsi parameter di atas :. Soal ini bisa diselesaikan jika x2 − x − 2 > 0. Kalkulus fungsi transenden logaritma asli turunan dan integral youtube from i.ytimg.com fungsi produksi sebuah perusahaan dinyatakan dengan persamaan : . Jika dalam waktu 2 jam jumlah bakteri . Sin 2 x 3.e x. ( fungsi yang bukan fungsi aljabar ) meliputi : Video ini berisi tentang materi singkat dan latihan soal tentang fungsi eksponensial yg merupakan bagian dari fungsi transenden.untuk . Tentukan turunan dari = ln(. Tentukan turunan fungsi di bawah ini. Carilah turunan dari = ln( − 4). X = e sin 2 x 3 2 cos 2 x 3.

E x sin 2 x 3 d. Buatlah bentuk fungsi y = f(x) dari fungsi parameter di atas :. = e 5 x 2 2 x 1. Di seri kuliah kalkulus kali ini, kita akan membahas materi mengenai cara mencari turunan dan integral fungsi eksponensial asli (exp(x)), . Soal latihan dan pembahasan persamaan lingkaran sol ltihn dn pebhsn pesn lingkn di susun oleh :

Sin 2 x 3.e x. Ilhamsaifudin12 Files Wordpress Com
Ilhamsaifudin12 Files Wordpress Com from
Di seri kuliah kalkulus kali ini, kita akan membahas materi mengenai cara mencari turunan dan integral fungsi eksponensial asli (exp(x)), . Carilah turunan dari = ln( − 4). Video ini berisi tentang materi singkat dan latihan soal tentang fungsi eksponensial yg merupakan bagian dari fungsi transenden.untuk . Soal latihan dan pembahasan persamaan lingkaran sol ltihn dn pebhsn pesn lingkn di susun oleh : X = e sin 2 x 3 2 cos 2 x 3. Buatlah bentuk fungsi y = f(x) dari fungsi parameter di atas :. Soal ini bisa diselesaikan jika x2 − x − 2 > 0. Kalkulus fungsi transenden logaritma asli turunan dan integral youtube from i.ytimg.com fungsi produksi sebuah perusahaan dinyatakan dengan persamaan : .

E x sin 2 x 3 d.

X = e sin 2 x 3. E x sin 2 x 3 d. Di seri kuliah kalkulus kali ini, kita akan membahas materi mengenai cara mencari turunan dan integral fungsi eksponensial asli (exp(x)), . Jika dalam waktu 2 jam jumlah bakteri . Tentukan turunan dari = ln(. = e 5 x 2 2 x 1. Tentukan turunan fungsi di bawah ini. Sin 2 x 3.e x. 2 + 3 + ) ! Soal latihan dan pembahasan persamaan lingkaran sol ltihn dn pebhsn pesn lingkn di susun oleh : ( fungsi yang bukan fungsi aljabar ) meliputi : Video ini berisi tentang materi singkat dan latihan soal tentang fungsi eksponensial yg merupakan bagian dari fungsi transenden.untuk . Buatlah bentuk fungsi y = f(x) dari fungsi parameter di atas :.

Latihan Soal Transenden / Kalkulus Fungsi Transenden Pdf - Di seri kuliah kalkulus kali ini, kita akan membahas materi mengenai cara mencari turunan dan integral fungsi eksponensial asli (exp(x)), .. 2 + 3 + ) ! Video ini berisi tentang materi singkat dan latihan soal tentang fungsi eksponensial yg merupakan bagian dari fungsi transenden.untuk . Jika dalam waktu 2 jam jumlah bakteri . X = e sin 2 x 3. Di seri kuliah kalkulus kali ini, kita akan membahas materi mengenai cara mencari turunan dan integral fungsi eksponensial asli (exp(x)), .

Posting Komentar untuk "Latihan Soal Transenden / Kalkulus Fungsi Transenden Pdf - Di seri kuliah kalkulus kali ini, kita akan membahas materi mengenai cara mencari turunan dan integral fungsi eksponensial asli (exp(x)), ."